F Compus Cu G Derivat





Reguli Formule De Derivare Mathematics

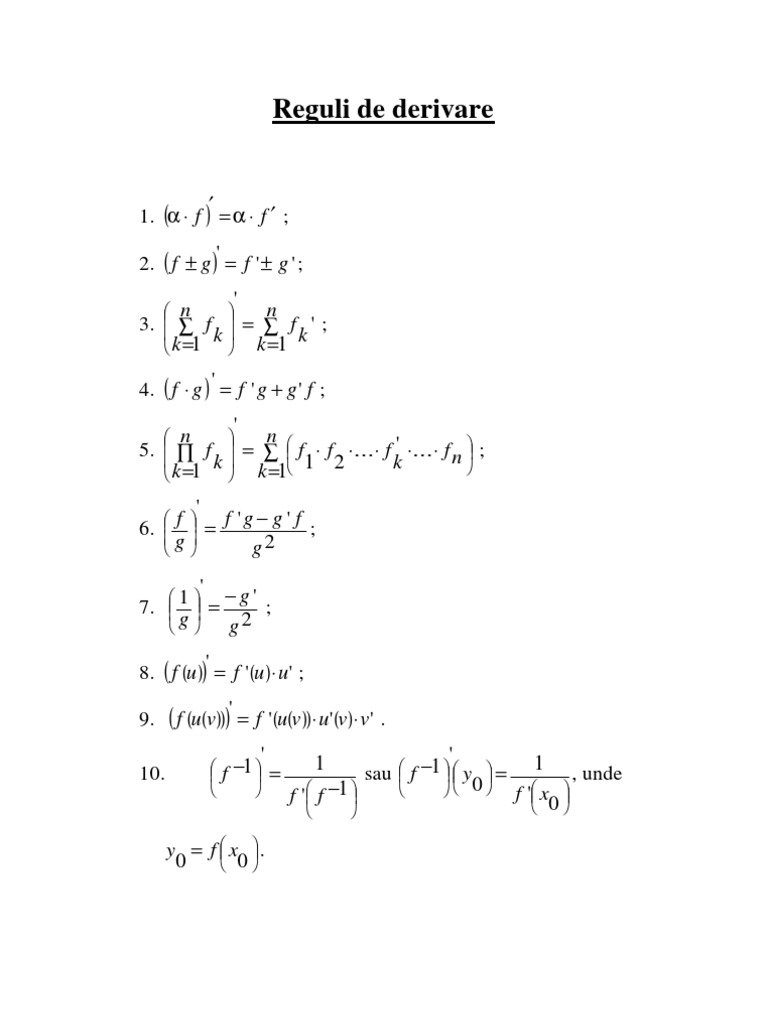
Reguli Formule De Derivare Mathematics

Reguli Formule De Derivare Mathematics

Reguli Formule De Derivare Mathematics

Functii Derivabile

Functii Derivabile

Derivarea Functiilor Compuse Lic Derivate Lndinu Youtube

Derivarea Functiilor Compuse Lic Derivate Lndinu Youtube

Derivarea Functiilor Compuse Lic Derivate Radicaldinu Youtube

Derivarea Functiilor Compuse Lic Derivate Radicaldinu Youtube

Primitive Ale Unei Functii Si Integrala Nedefinita

Primitive Ale Unei Functii Si Integrala Nedefinita

Primitive Ale Unei Functii Si Integrala Nedefinita

Derivarea Unor Functii Elementare Youtube

Derivarea Unor Functii Elementare Youtube

Recapitulare Bac Exercitii Rezolvate Cu Derivate Formule Ecuatia Tangentei Intr Un Punct Definitia Derivatei Cu Limita Derivarea Produsului Derivarea Raportului Derivarea Functiilor Compuse Jitaruionelblog Pregatire Bac Si Evaluarea

Recapitulare Bac Exercitii Rezolvate Cu Derivate Formule Ecuatia Tangentei Intr Un Punct Definitia Derivatei Cu Limita Derivarea Produsului Derivarea Raportului Derivarea Functiilor Compuse Jitaruionelblog Pregatire Bac Si Evaluarea

Primitive Ale Unei Functii Si Integrala Nedefinita

Primitive Ale Unei Functii Si Integrala Nedefinita

Lecție Compuși Halogenați Facebook

Lecție Compuși Halogenați Facebook

3 3 Differentiation Of Compositions Of Functions The Chain Rule

3 3 Differentiation Of Compositions Of Functions The Chain Rule

2

2

Clase De Blocante De Canale De Calciu Tejido Muscular Liso Farmacocinetica

Clase De Blocante De Canale De Calciu Tejido Muscular Liso Farmacocinetica

Formule De Derivare A Functiilor Compuse

Formule De Derivare A Functiilor Compuse

2

2

Cabala 496 546g0drd27n8

Cabala 496 546g0drd27n8

Modified Ham S F 10 Medium Pdf Free Download

Modified Ham S F 10 Medium Pdf Free Download

Modified Ham S F 10 Medium Pdf Free Download

Modified Ham S F 10 Medium Pdf Free Download

Pdf Riding The Waves Of Change The Dictionary Of The Romanian Language Project Marinela Burada And Raluca Sinu

Pdf Riding The Waves Of Change The Dictionary Of The Romanian Language Project Marinela Burada And Raluca Sinu

Lecție Compuși Halogenați Facebook

Lecție Compuși Halogenați Facebook

Source : pinterest.com